What Is The Solution Of The Differential Equation X 2 1 Y 2xy 2y 0 And What Type Of Differential Equation It This Quora
Answer (1 of 3) That's a rather convenient differential equation to attack with a power series Suppose \displaystyle y = \sum_{k=0}^{\infty} a_k x^k\tag*{} AndFind Two Linearly Independent Power Series Solutions to (x 1)y'' y' = 0If you enjoyed this video please consider liking, sharing, and subscribingUdemy C
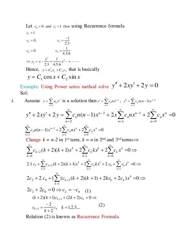
(1-x^2)y''-2xy'+2y=0 power series
(1-x^2)y''-2xy'+2y=0 power series-Find two power series solutions of the (1 x^2)y'''2xy'2y = 0 about the ordinary point x_0 = 0 Calculus Math Differential Equations MATH 427K Share Question EmailCalculus Consider the equation x^2 2xy 4y^2 = 64 Write an expression of the slope of the curve at any point (y^p)= y prime My work 2x 2 (xy^p y) 8yy^p = 0 2x 2xy^p 2y 8yy^p
Lecture 6 Singular Points Chapter 5 5 1
Experts are tested by Chegg as specialists in their subject area We review their content and useB) determine their radius of convergence;Find the power series solution of (1x^2)y''2xy'2y=0 about the Get more out of your subscription* Access to over 100 million coursespecific study resources;
Solution for Solve the following ordinary differential equations by applying power series solution yy = 0 2 y 2y = 0 3 y2(1 x)y = 0 4 y = xy 5 y4y 0This equation is an exact differential dF (x,y) = 0 because P_y = 2y/x^2 = Q_x The solution is F (x,y) = C with F_x = P = 1 y^2/x^2 1/x^2 F_y = Q = 1 2y/x Integrating the second equation(1 − x^2)y'' − 2xy' 12y = 0 (i) Consider a power series solution centered at zero and derive the recurrence relation for the coefficients (ii) We know from the general theory that there are two
(1-x^2)y''-2xy'+2y=0 power seriesのギャラリー
各画像をクリックすると、ダウンロードまたは拡大表示できます
Find Two Power Series Solutions About The Ordinary Poi Itprospt | ![]() Find Two Power Series Solutions About The Ordinary Poi Itprospt | ![]() Find Two Power Series Solutions About The Ordinary Poi Itprospt |
Find Two Power Series Solutions About The Ordinary Poi Itprospt | ![]() Find Two Power Series Solutions About The Ordinary Poi Itprospt | Find Two Power Series Solutions About The Ordinary Poi Itprospt |
![]() Find Two Power Series Solutions About The Ordinary Poi Itprospt | Find Two Power Series Solutions About The Ordinary Poi Itprospt | ![]() Find Two Power Series Solutions About The Ordinary Poi Itprospt |
![]() Find Two Power Series Solutions About The Ordinary Poi Itprospt | ![]() Find Two Power Series Solutions About The Ordinary Poi Itprospt | ![]() Find Two Power Series Solutions About The Ordinary Poi Itprospt |
Find Two Power Series Solutions About The Ordinary Poi Itprospt | Find Two Power Series Solutions About The Ordinary Poi Itprospt | ![]() Find Two Power Series Solutions About The Ordinary Poi Itprospt |
![]() Find Two Power Series Solutions About The Ordinary Poi Itprospt | ![]() Find Two Power Series Solutions About The Ordinary Poi Itprospt | Find Two Power Series Solutions About The Ordinary Poi Itprospt |
![]() Find Two Power Series Solutions About The Ordinary Poi Itprospt | ![]() Find Two Power Series Solutions About The Ordinary Poi Itprospt | ![]() Find Two Power Series Solutions About The Ordinary Poi Itprospt |
Find Two Power Series Solutions About The Ordinary Poi Itprospt | ![]() Find Two Power Series Solutions About The Ordinary Poi Itprospt | ![]() Find Two Power Series Solutions About The Ordinary Poi Itprospt |
Find Two Power Series Solutions About The Ordinary Poi Itprospt | ![]() Find Two Power Series Solutions About The Ordinary Poi Itprospt | Find Two Power Series Solutions About The Ordinary Poi Itprospt |
![]() Find Two Power Series Solutions About The Ordinary Poi Itprospt | ![]() Find Two Power Series Solutions About The Ordinary Poi Itprospt | ![]() Find Two Power Series Solutions About The Ordinary Poi Itprospt |
![]() Find Two Power Series Solutions About The Ordinary Poi Itprospt | ![]() Find Two Power Series Solutions About The Ordinary Poi Itprospt | Find Two Power Series Solutions About The Ordinary Poi Itprospt |
Find Two Power Series Solutions About The Ordinary Poi Itprospt | ![]() Find Two Power Series Solutions About The Ordinary Poi Itprospt | Find Two Power Series Solutions About The Ordinary Poi Itprospt |
Find Two Power Series Solutions About The Ordinary Poi Itprospt | ![]() Find Two Power Series Solutions About The Ordinary Poi Itprospt | Find Two Power Series Solutions About The Ordinary Poi Itprospt |
![]() Find Two Power Series Solutions About The Ordinary Poi Itprospt | Find Two Power Series Solutions About The Ordinary Poi Itprospt | ![]() Find Two Power Series Solutions About The Ordinary Poi Itprospt |
Find Two Power Series Solutions About The Ordinary Poi Itprospt | ![]() Find Two Power Series Solutions About The Ordinary Poi Itprospt | ![]() Find Two Power Series Solutions About The Ordinary Poi Itprospt |
![]() Find Two Power Series Solutions About The Ordinary Poi Itprospt | Find Two Power Series Solutions About The Ordinary Poi Itprospt | Find Two Power Series Solutions About The Ordinary Poi Itprospt |
![]() Find Two Power Series Solutions About The Ordinary Poi Itprospt | Find Two Power Series Solutions About The Ordinary Poi Itprospt | Find Two Power Series Solutions About The Ordinary Poi Itprospt |
Find Two Power Series Solutions About The Ordinary Poi Itprospt | ![]() Find Two Power Series Solutions About The Ordinary Poi Itprospt | ![]() Find Two Power Series Solutions About The Ordinary Poi Itprospt |
![]() Find Two Power Series Solutions About The Ordinary Poi Itprospt | ![]() Find Two Power Series Solutions About The Ordinary Poi Itprospt | Find Two Power Series Solutions About The Ordinary Poi Itprospt |
Find Two Power Series Solutions About The Ordinary Poi Itprospt | Find Two Power Series Solutions About The Ordinary Poi Itprospt | ![]() Find Two Power Series Solutions About The Ordinary Poi Itprospt |
![]() Find Two Power Series Solutions About The Ordinary Poi Itprospt | Find Two Power Series Solutions About The Ordinary Poi Itprospt | ![]() Find Two Power Series Solutions About The Ordinary Poi Itprospt |
Find Two Power Series Solutions About The Ordinary Poi Itprospt | ![]() Find Two Power Series Solutions About The Ordinary Poi Itprospt | ![]() Find Two Power Series Solutions About The Ordinary Poi Itprospt |
Find Two Power Series Solutions About The Ordinary Poi Itprospt | Find Two Power Series Solutions About The Ordinary Poi Itprospt | ![]() Find Two Power Series Solutions About The Ordinary Poi Itprospt |
![]() Find Two Power Series Solutions About The Ordinary Poi Itprospt | ![]() Find Two Power Series Solutions About The Ordinary Poi Itprospt | Find Two Power Series Solutions About The Ordinary Poi Itprospt |
![]() Find Two Power Series Solutions About The Ordinary Poi Itprospt | ![]() Find Two Power Series Solutions About The Ordinary Poi Itprospt | Find Two Power Series Solutions About The Ordinary Poi Itprospt |
![]() Find Two Power Series Solutions About The Ordinary Poi Itprospt | ![]() Find Two Power Series Solutions About The Ordinary Poi Itprospt | Find Two Power Series Solutions About The Ordinary Poi Itprospt |
![]() Find Two Power Series Solutions About The Ordinary Poi Itprospt | ![]() Find Two Power Series Solutions About The Ordinary Poi Itprospt | ![]() Find Two Power Series Solutions About The Ordinary Poi Itprospt |
![]() Find Two Power Series Solutions About The Ordinary Poi Itprospt | ![]() Find Two Power Series Solutions About The Ordinary Poi Itprospt | Find Two Power Series Solutions About The Ordinary Poi Itprospt |
Find Two Power Series Solutions About The Ordinary Poi Itprospt | ![]() Find Two Power Series Solutions About The Ordinary Poi Itprospt | Find Two Power Series Solutions About The Ordinary Poi Itprospt |
Find Two Power Series Solutions About The Ordinary Poi Itprospt | ![]() Find Two Power Series Solutions About The Ordinary Poi Itprospt | ![]() Find Two Power Series Solutions About The Ordinary Poi Itprospt |
![]() Find Two Power Series Solutions About The Ordinary Poi Itprospt | Find Two Power Series Solutions About The Ordinary Poi Itprospt | ![]() Find Two Power Series Solutions About The Ordinary Poi Itprospt |
![]() Find Two Power Series Solutions About The Ordinary Poi Itprospt | ![]() Find Two Power Series Solutions About The Ordinary Poi Itprospt | Find Two Power Series Solutions About The Ordinary Poi Itprospt |
![]() Find Two Power Series Solutions About The Ordinary Poi Itprospt | Find Two Power Series Solutions About The Ordinary Poi Itprospt | Find Two Power Series Solutions About The Ordinary Poi Itprospt |
![]() Find Two Power Series Solutions About The Ordinary Poi Itprospt | ![]() Find Two Power Series Solutions About The Ordinary Poi Itprospt | Find Two Power Series Solutions About The Ordinary Poi Itprospt |
Find Two Power Series Solutions About The Ordinary Poi Itprospt |
Power Series Solution of Differential Equation (x^2 1)y'' xy' y = 0 Also visit my website https//wwwtheissbcom for learning other stuff! Find an answer to your question Find power series solution (1x^2)y^"2xy^'2y 1 Log in Join now 1 Log in Join now Ask your question mmmmmmm1309 Math
Incoming Term: (1-x^2)y''-2xy'+2y=0 power series,































































0 件のコメント:
コメントを投稿